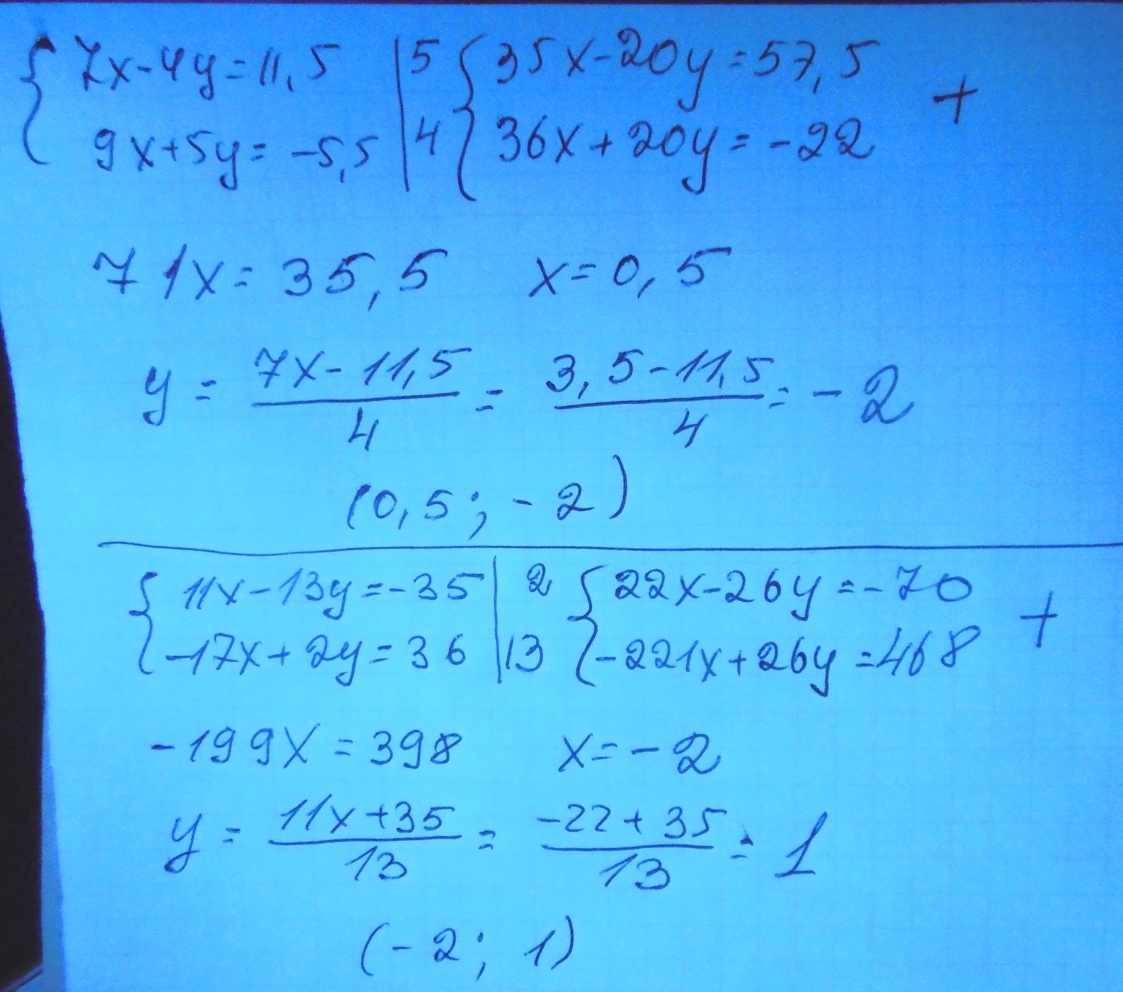
Решите систему уравнений способом сложения:
1){7x-4y=11,5
{9x+5y=-5,5
2){11x-13y=-35
{-17x+2y=36.
Ответы
Ответ дал:
0
!!!!!!!!!!!!!!!!!!!!!!!!!!!!!!!!
Приложения:

Вас заинтересует
2 года назад
2 года назад
7 лет назад
7 лет назад
9 лет назад
10 лет назад