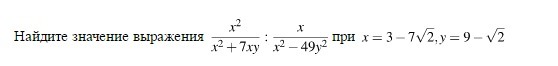
Найдите значение выражения x^2/x^2+7xy/x/x^2-49y^2 при x=3-7√ 2, y=9-√2
Ниже фото для большего комфорта
Приложения:

Ответа на этот вопрос пока нет. Попробуйте найти его через форму поиска.
Вас заинтересует
2 года назад
2 года назад
7 лет назад
9 лет назад
9 лет назад
10 лет назад
10 лет назад