Ответы
Ответ дал:
0
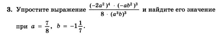
16а^8 ×(-а^3в^6) -16а^11в^6
=------------------------ = -----------------
8 (а^9в^3) 8а^9в^3
=-2а^2в^3
=------------------------ = -----------------
8 (а^9в^3) 8а^9в^3
=-2а^2в^3
Вас заинтересует
3 года назад
3 года назад
7 лет назад
7 лет назад
10 лет назад
10 лет назад