Ответы
Ответ дал:
0
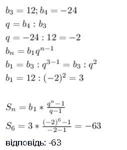
відповідь: -63
Приложения:

Ответ дал:
0
как приложения называется?
Ответ дал:
0
на сайте встроенн LaTeX чтоб набирать формулы, а скрин потом с помощью "Ножницы" которые в винду на компеноуте встроены
Ответ дал:
0
спс
Вас заинтересует
2 года назад
7 лет назад
7 лет назад
9 лет назад
9 лет назад
10 лет назад
10 лет назад