• Предмет: Алгебра
  • Автор: LadyDi5
  • Вопрос задан 9 лет назад

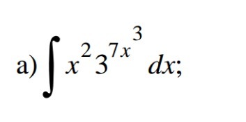
Интеграл найти неопределенный

Приложения:

Ответы

Ответ дал: pavel18061
0
 intlimits { x^{2}  3^{7 x^{3} } } , dx = frac{1}{21}  intlimits { 3^{7 x^{3} } } , d(7 x^{3} ) = frac{ 3^{7 x^{3} } }{21ln3} +C.
Вас заинтересует