• Предмет: Алгебра
  • Автор: LadyDi5
  • Вопрос задан 9 лет назад

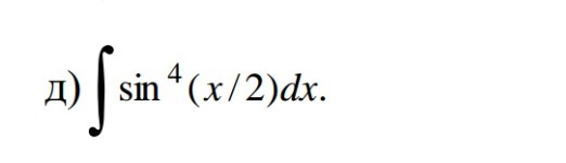
Найти неопределенный интеграл

Приложения:

Ответы

Ответ дал: pavel18061
0
 intlimits { sin^{4}( frac{x}{2} ) } , dx = intlimits{ ( frac{1-cosx}{2} )^{2} } , dx= frac{1}{4} intlimits{ (1-2cosx+ cos^{2}x ) } , dx = frac{x}{4} - frac{sinx}{2}   + frac{1}{4} intlimits { frac{1+cos2x}{2} } , dx = frac{3x}{8} - frac{sinx}{2}+ frac{sin2x}{16}+C.
Вас заинтересует