• Предмет: Алгебра
  • Автор: sakamachi2017
  • Вопрос задан 9 лет назад

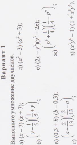
Выполните умножение двучленов! Надо очень срочно

Приложения:

Ответы

Ответ дал: smailik
0
1) x^2-4  a)
2)y^2-1/25 б)

3)b^2-0.09 в)
4)4/169-a^2 г)
5)а^4-9  д)
6)4x^2-y^6  e)
7)1/16-p^18 ж)
8)x^6 y^8-1
Ответ дал: smailik
0
отметь лучшим я старалась быстрее
Ответ дал: sakamachi2017
0
Потом отмечу, пока нельзя
Ответ дал: smailik
0
хорошо
Вас заинтересует