• Предмет: Алгебра
  • Автор: кот62
  • Вопрос задан 9 лет назад

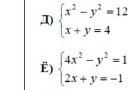
Помогите решить, пожалуйста!

Приложения:

Ответы

Ответ дал: ksusokol
0
Это первое
Дальше второе, ноя в этом не уверенна
Приложения:
Вас заинтересует