Ответы
Ответ дал:
0
Мне скинули рисунок к этой задаче. Вот он в приложении.
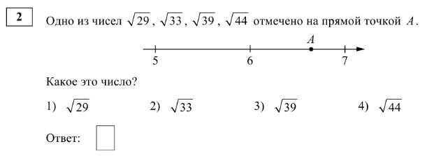
Числа √29 < √33 < 6, поэтому их можно не рассматривать.
Осталось выяснить, какое из чисел, √39 или √44, соответствует точке А.
Точка А находится явно правее середины отрезка (6; 7), то есть A > 6,5.
Сравним квадраты этих чисел.
(6,5)^2 = 42,25
39 < 42,25 < 44
√39 < 6,5 < √44
Очевидно, что A(√44)
Приложения:

Вас заинтересует
2 года назад
2 года назад
7 лет назад
9 лет назад
9 лет назад
10 лет назад