• Предмет: Алгебра
  • Автор: masha11147474
  • Вопрос задан 9 лет назад

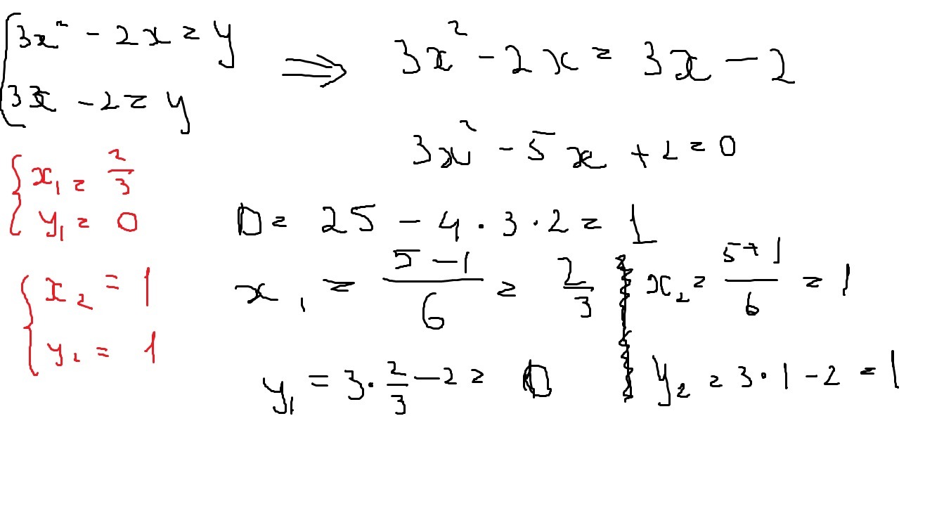
Помогите решить систему уравнений
3х^2-2х=у
3х-2=у

Ответы

Ответ дал: QueenNics
0
Вот система. Два решения

Приложения:
Вас заинтересует