Ответы
Ответ дал:
0
1) 
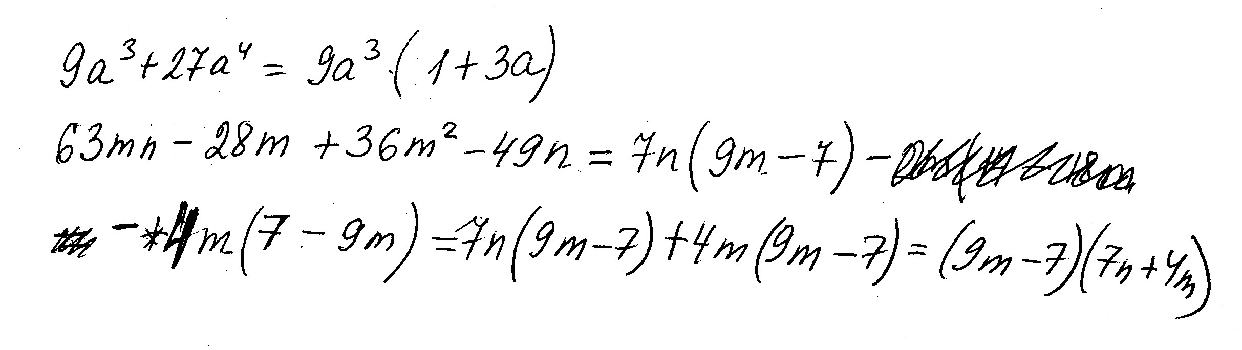
2) 7n(9m-7)+4m(9m-7)=(9m-7)(7n+4m)
2) 7n(9m-7)+4m(9m-7)=(9m-7)(7n+4m)
Ответ дал:
0
решение во вложенном файле
Приложения:
Вас заинтересует
2 года назад
7 лет назад
10 лет назад
10 лет назад