• Предмет: Химия
  • Автор: bokanovaalina
  • Вопрос задан 9 лет назад

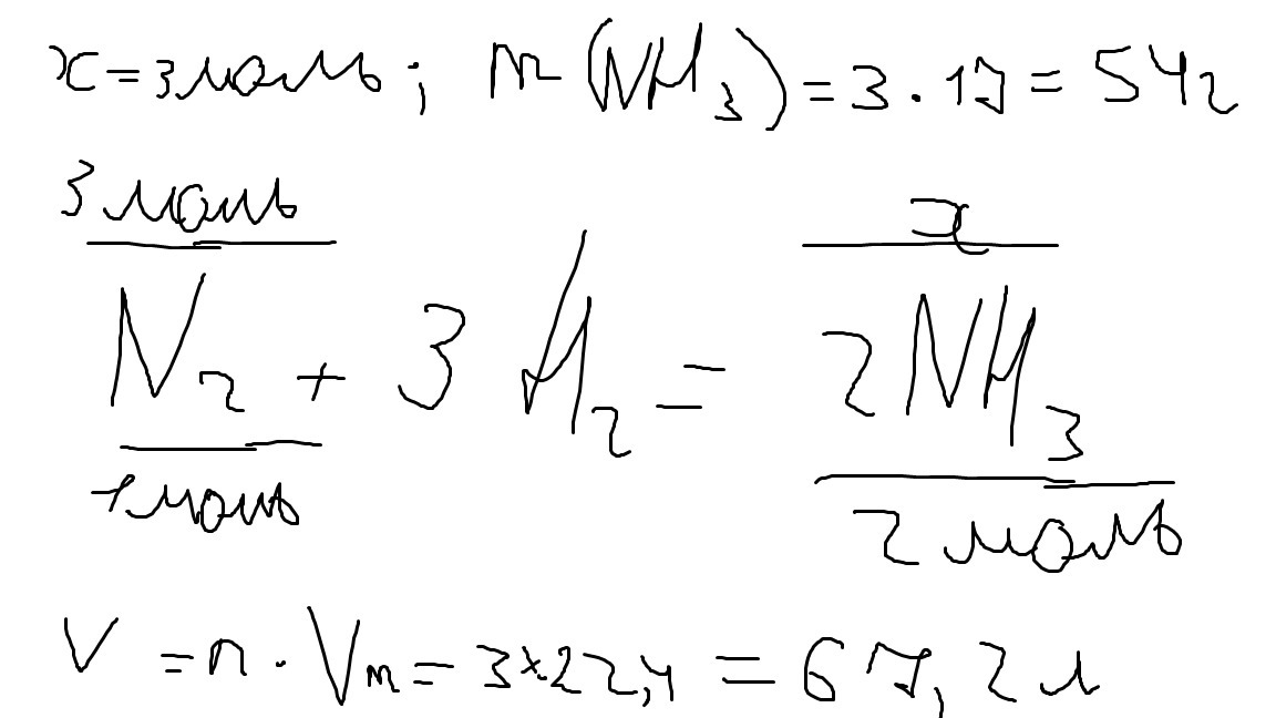
По уравнению N2+3Н2=2NH3 вычислите массу аммиака и объём, если количество азота 3 моль, при н.у.

Ответы

Ответ дал: Kirill4ik2017
0
Вроде вот так посмотри
Приложения:
Ответ дал: bokanovaalina
0
Спасибо
Вас заинтересует