• Предмет: Алгебра
  • Автор: milenasoboleva1
  • Вопрос задан 9 лет назад

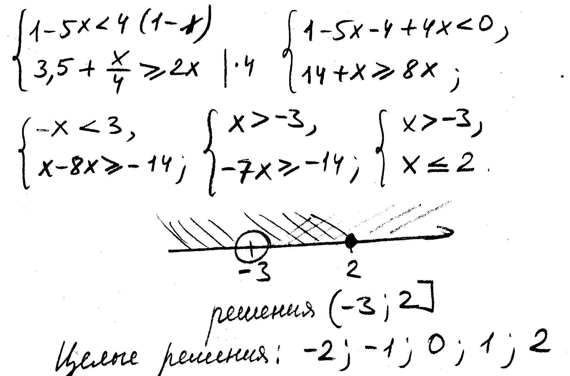
реши систему и найди целые решения

2) 1-5х<4(1-х)
3,5+х4≥2х

Ответы

Ответ дал: samodina
0
решение во вложенном файле
Приложения:
Ответ дал: milenasoboleva1
0
1)5*(1-2)<2х-4
2,5+х2≥х помогите
Вас заинтересует