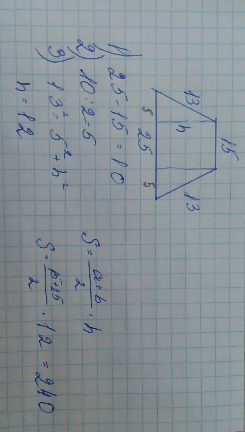
основы равнобедренной трапеции равны 25 см и 15 см.а боковая сторона -13см найдите площадь трапеции
Ответы
Ответ дал:
0
Решение смотри в файле.
Приложения:

Вас заинтересует
2 года назад
2 года назад
7 лет назад
7 лет назад
9 лет назад
9 лет назад