• Предмет: Алгебра
  • Автор: gluskina69
  • Вопрос задан 9 лет назад

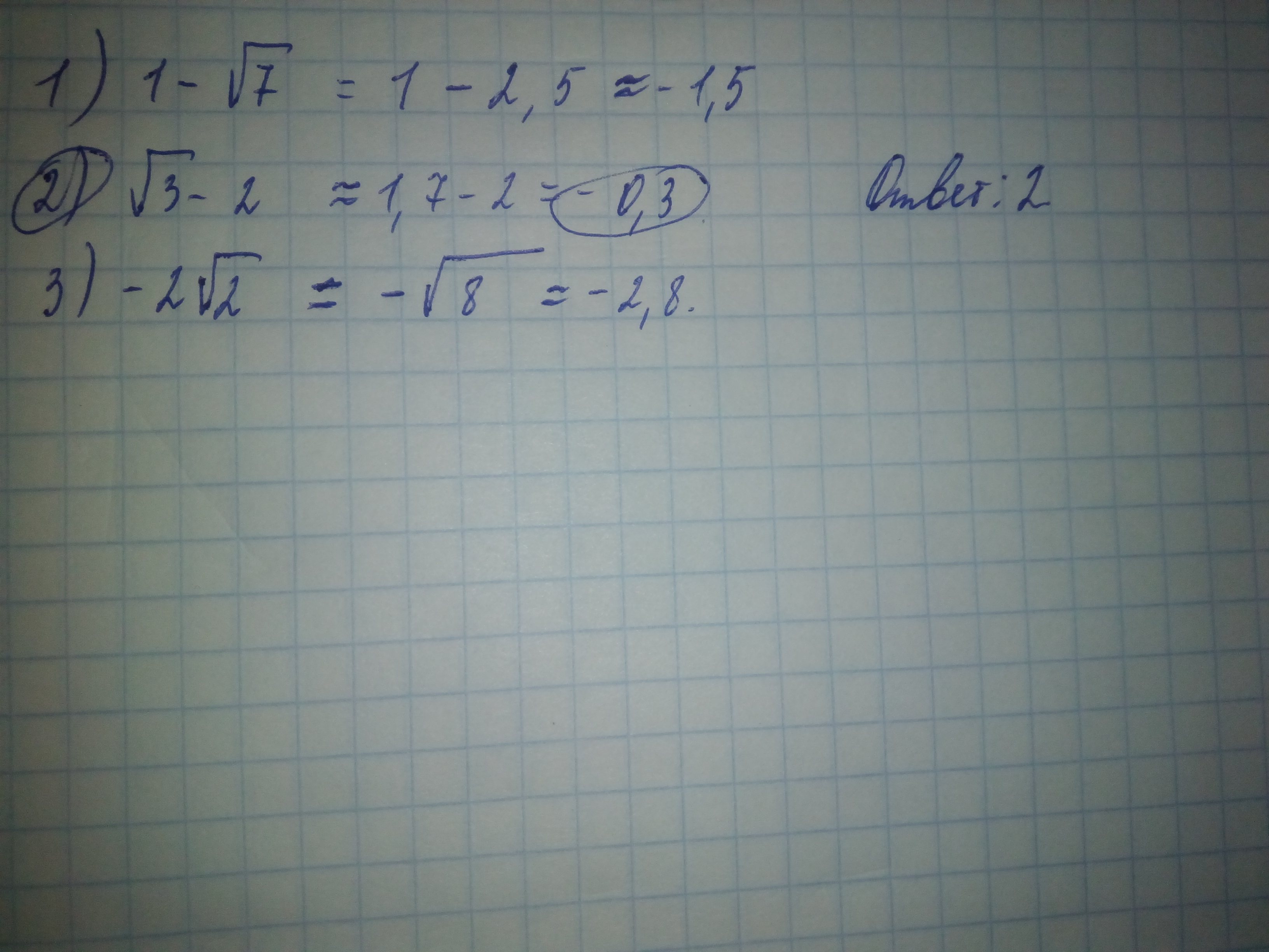
Прошу помочь: укажите наибольшее из чисел
1) 1-√7
2) √3-2
3) -2√2

Ответы

Ответ дал: Евгений17117
0
Представляем корни в приблизительно значении и все получится)
Приложения:
Ответ дал: gluskina69
0
Спасибо большое!
Ответ дал: gluskina69
0
А если возвести числа из условия в квадрат? 1-√7 - это -6, √3-2 - -1, а -2√2 - как?
Вас заинтересует