• Предмет: Геометрия
  • Автор: ЕвГеНи1113
  • Вопрос задан 9 лет назад

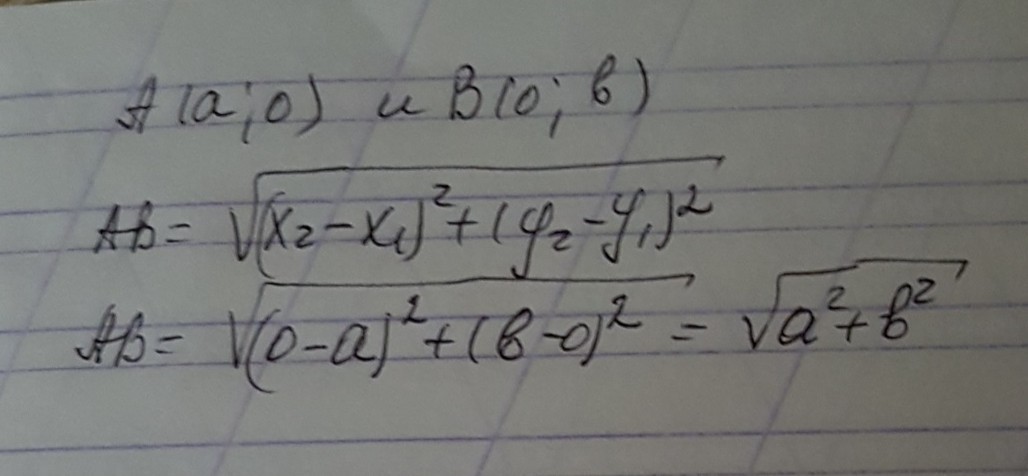
Расстояние между двумя точками A( a; 0) и B(0; b) равно

Ответы

Ответ дал: подкожного
0
решение задания смотри на фотографии
Приложения:
Вас заинтересует