• Предмет: Математика
  • Автор: liza9914
  • Вопрос задан 9 лет назад

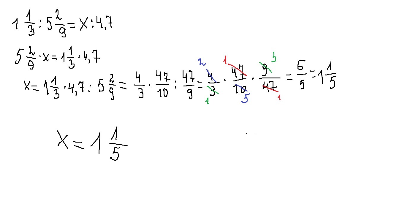
неизвестный член пропорции. В виде фотографии (пожалуйста)

Приложения:

Ответы

Ответ дал: parus77
0
решение смотри на картинке внизу
Приложения:
Вас заинтересует