Ответы
Ответ дал:
0
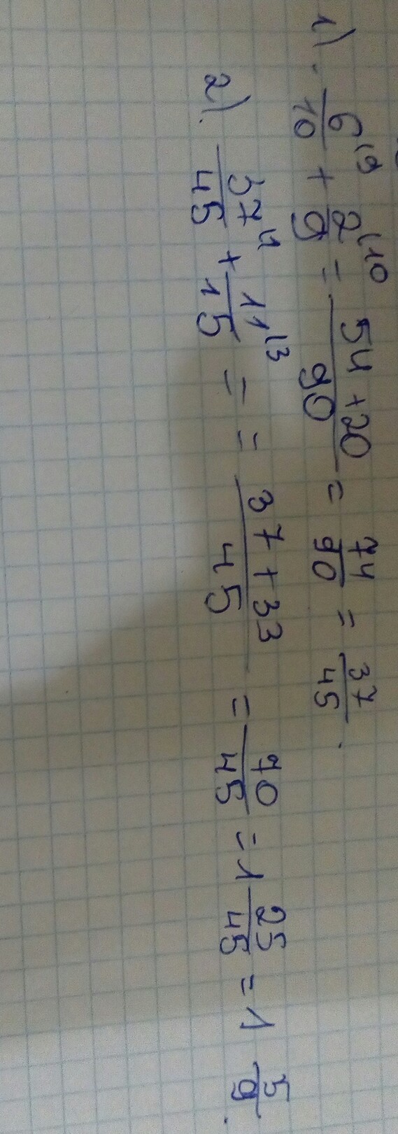
Вот такое решение получилось.
Приложения:

Ответ дал:
0
11/15+(52/90+20/90)=11/15+72/90=66/90+72/90=138/90=1 48/90= 1 6/9= 1 2/3
Приложения:

Ответ дал:
0
74/90=37/45
Ответ дал:
0
Я же сократила.
Ответ дал:
0
37/45+11/15=70/45=1 целая 25/45=1 целая5/9
Ответ дал:
0
Да.
Ответ дал:
0
У меня решение чуть выше.
Вас заинтересует
2 года назад
7 лет назад
7 лет назад
9 лет назад