Ответы
Ответ дал:
0
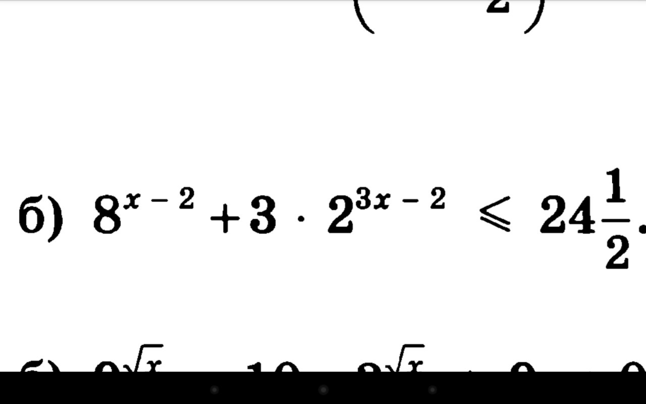
8^(x-2) + 3*2^(3x-2)≤49/2
2^(3x-6) +3*2^(3x-2)≤49/2
2^(3x-2) * 2^(-4) +3*2^(3x-2)≤49/2
2^(3x-2) *(1/16+3)≤49/2
49/16 *2^(3x-2)≤49/2
2^(3x-2)≤49/2 : 49/16
2^(3x-2)≤ (49*16)/ (2*49)
2^(3x-2)≤8
2^(3x-2)≤2^3
3x-2≤3; 2>1
3x≤5
x≤5/3
-------------
2^(3x-6) +3*2^(3x-2)≤49/2
2^(3x-2) * 2^(-4) +3*2^(3x-2)≤49/2
2^(3x-2) *(1/16+3)≤49/2
49/16 *2^(3x-2)≤49/2
2^(3x-2)≤49/2 : 49/16
2^(3x-2)≤ (49*16)/ (2*49)
2^(3x-2)≤8
2^(3x-2)≤2^3
3x-2≤3; 2>1
3x≤5
x≤5/3
-------------
Вас заинтересует
2 года назад
2 года назад
7 лет назад
7 лет назад
10 лет назад
10 лет назад
10 лет назад