• Предмет: Алгебра
  • Автор: nkiselka1
  • Вопрос задан 9 лет назад

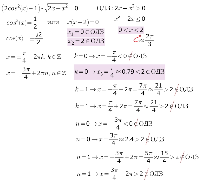
Решите уравнение (2 cos^{2}x-1 )* sqrt{2x- x^{2} } =0<br />

Ответы

Ответ дал: LFP
0
уравнение имеет три корня: {0; pi/4; 2}
Приложения:
Вас заинтересует