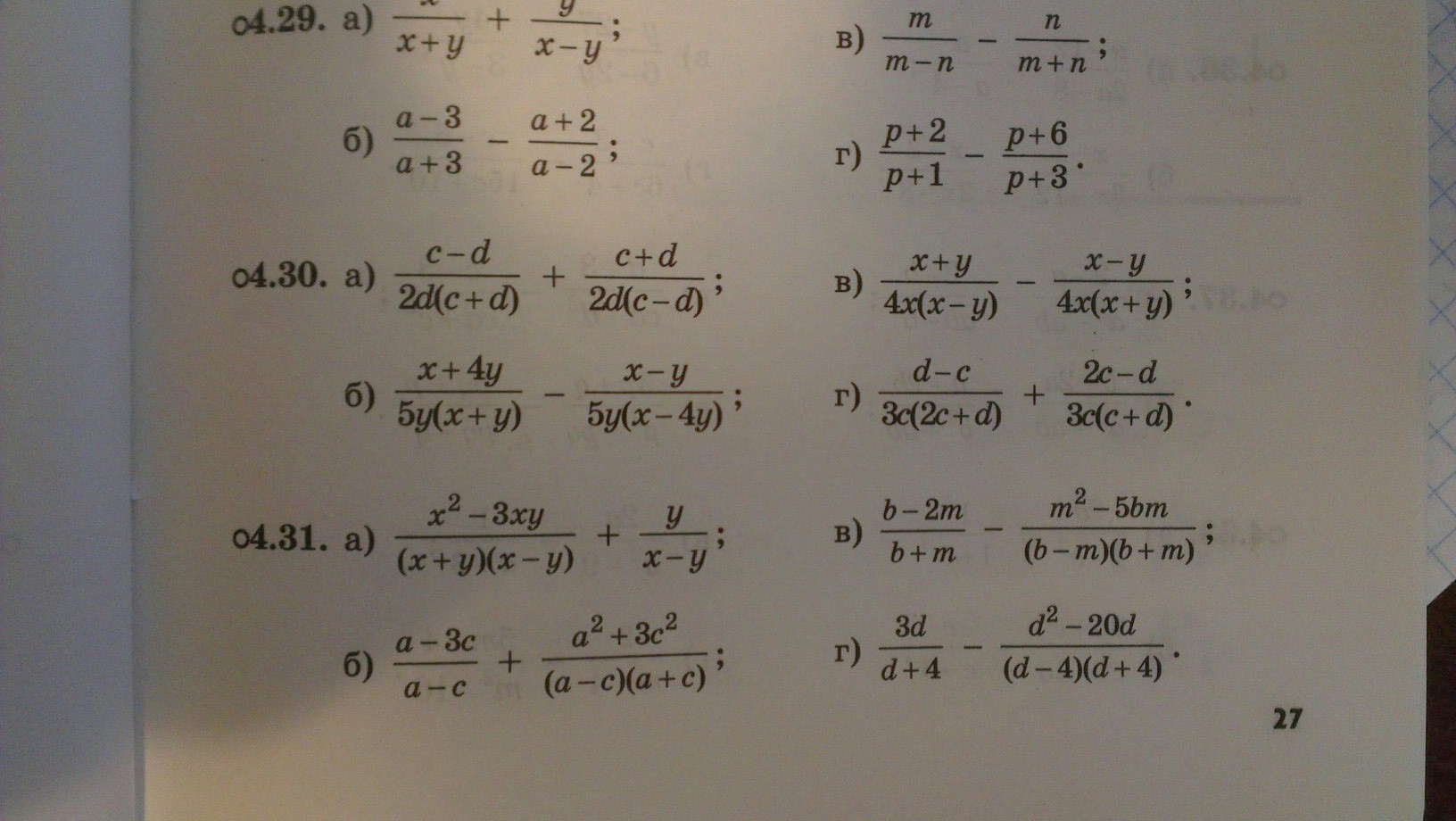
4.30 а и б. Упростите выражение. Подробное решение фотографией пожалуйста, хочу разобраться в решении. Даю 15 баллов
Приложения:
Ответы
Ответ дал:
0
Как-то так
Сорян ща грязь
Сорян ща грязь
Приложения:
Вас заинтересует
2 года назад
2 года назад
7 лет назад
10 лет назад
10 лет назад
10 лет назад