Ответы
Ответ дал:
0
пройди по этой ссылке)все найдешь
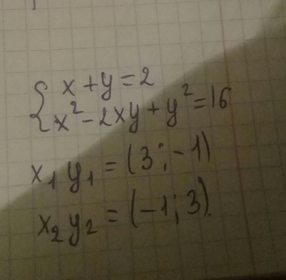
begin{cases}x + y = 2 \ x^{2} - 2 x y + y^{2} = 16 \ end{cases}
begin{cases}x + y = 2 \ x^{2} - 2 x y + y^{2} = 16 \ end{cases}
Приложения:
Вас заинтересует
2 года назад
2 года назад
7 лет назад
10 лет назад
10 лет назад
10 лет назад