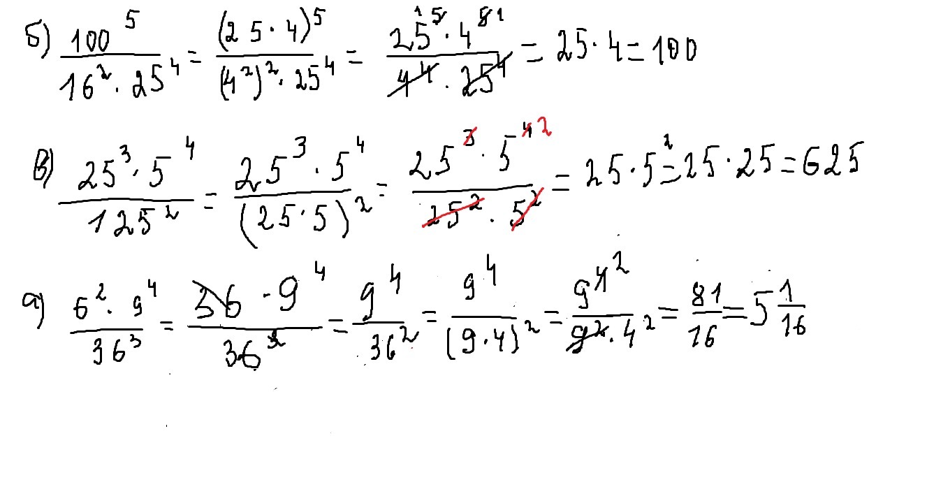
Вычислите дробь:
а)6²-9⁴
⁻⁻⁻⁻⁻
36³
б) 100⁵
⁻⁻⁻⁻⁻
16²· 25⁴
в) 25³·5⁴
⁻⁻⁻⁻⁻⁻⁻⁻
125²
ПЛЕЗ, СРОЧНО НАДО РЕШИТЬ!
ЗАРАНЕЕ СПАСИБО!
Ответы
Ответ дал:
0
решение внизу на картинке
Приложения:

Ответ дал:
0
спасибо большое!
Ответ дал:
0
в след.раз будь внимательней,чтобы не приходилось переделывать.
Вас заинтересует
2 года назад
2 года назад
7 лет назад
9 лет назад
9 лет назад
10 лет назад