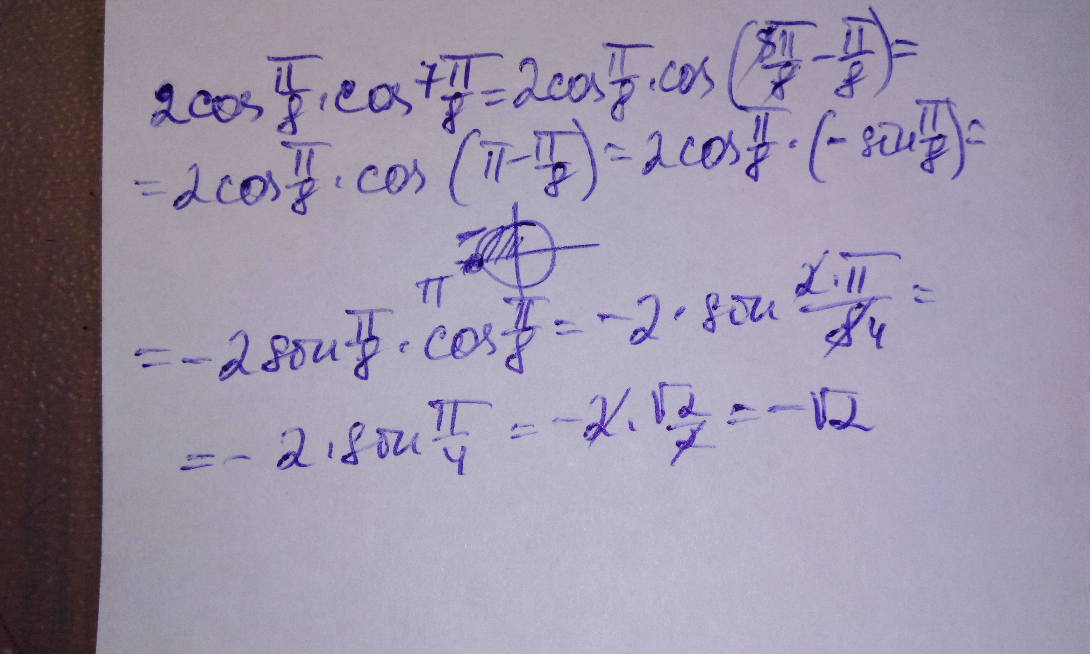
корень2*cos П8 * cos 7П8 Ответ: -0,5 , но у меня не выходит. Может у вас получится , если что кидайте решение.
Ответы
Ответ дал:
0
Формулы : приведения и синус двойного угла.
Приложения:

Ответ дал:
0
Вот та же фигня , значит у автора опечатка в ответе.
Вас заинтересует
2 года назад
7 лет назад
7 лет назад
9 лет назад
9 лет назад
10 лет назад