• Предмет: Математика
  • Автор: AzizaGreen
  • Вопрос задан 9 лет назад

прооошууу умоляю помогиье

Приложения:

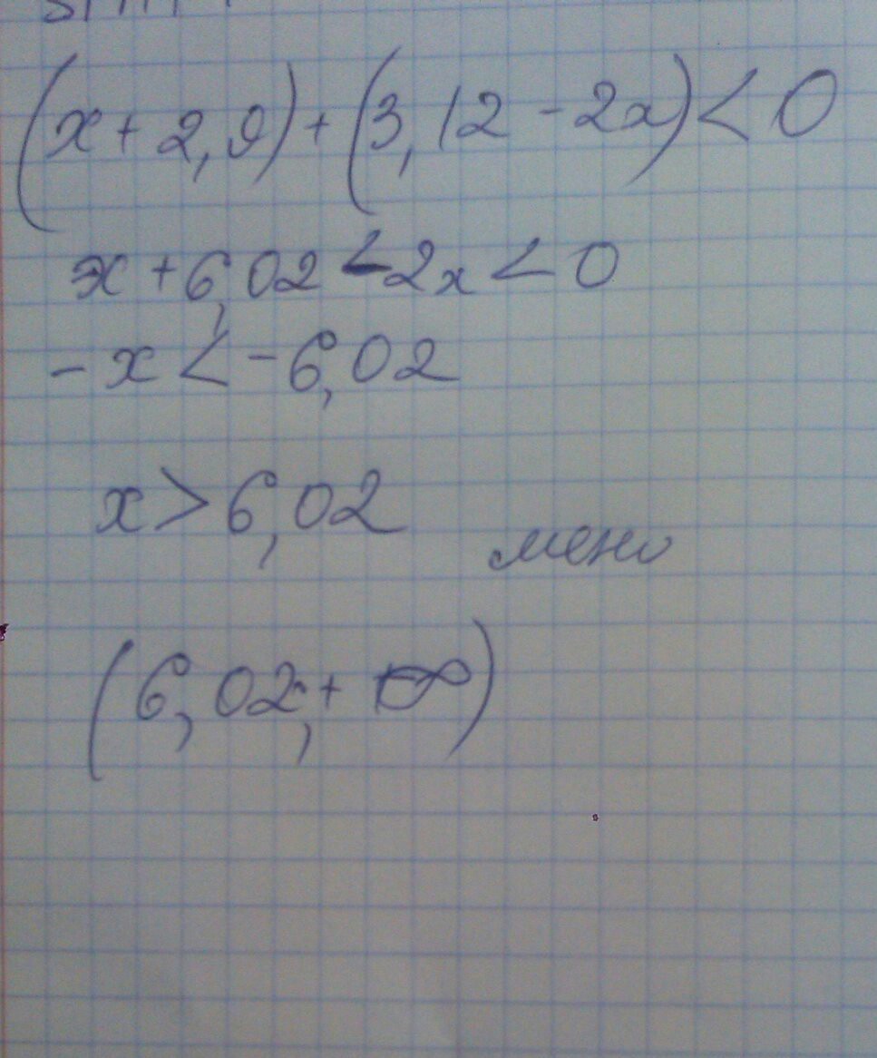
Ответы

Ответ дал: Каце1
0
в конце делим на минус один поэтому знау мёньше меняем на больше
Приложения:
Ответ дал: Hirigi
0
незнаюооооооплпомлмлмл
Приложения:
Вас заинтересует