• Предмет: Алгебра
  • Автор: TypoiMatemaric
  • Вопрос задан 9 лет назад

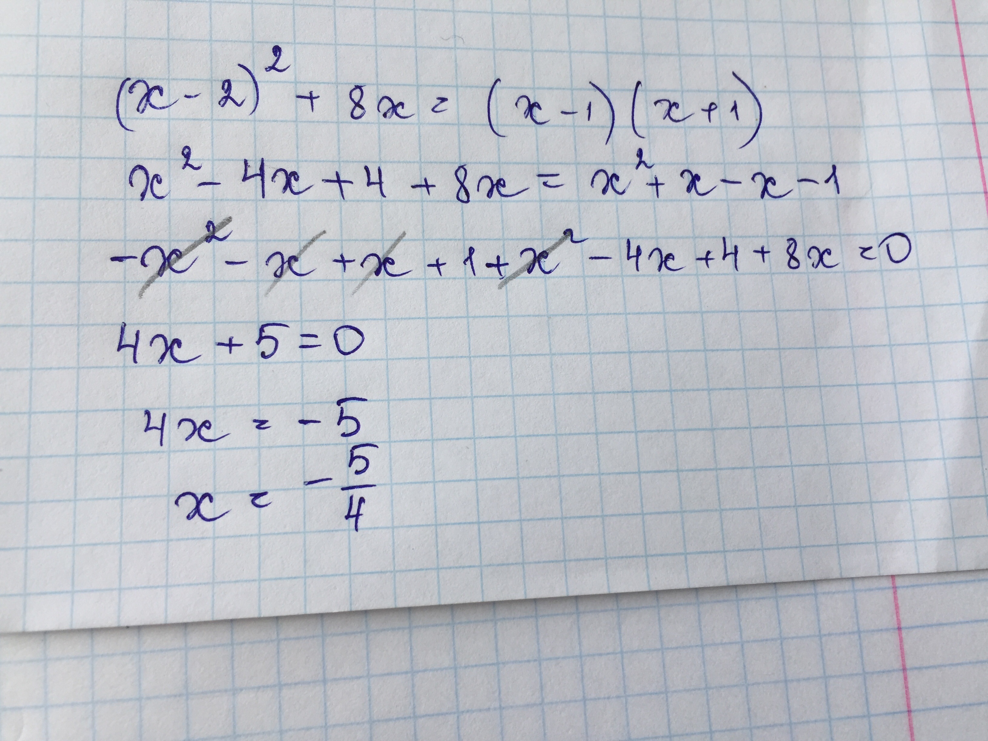
Решите уравнение: (x-2)^2 +8x=(x-1) (x+1)

Ответы

Ответ дал: Pesosprosto
0
Наверно так, я не уверена)
Приложения:
Ответ дал: anastasiatcher
0
X^2-4x+4+8x=x^2-1
-4x=4+1
-4x=5
X= -1,25
Приложения:
Вас заинтересует