• Предмет: Алгебра
  • Автор: koganzahar1
  • Вопрос задан 9 лет назад

Разложите на ножетили
16x-4x^3

Ответы

Ответ дал: dtnth
0
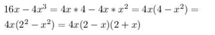
16x-4x^3=4x*4-4x*x^2=4x(4-x^2)=
4x(2^2-x^2)=4x(2-x)(2+x)
Приложения:
Ответ дал: Алкадиеныч
0
вынесем 4x (4-4x^2)
4x(2-x)(2+x)
Приложения:
Вас заинтересует