• Предмет: Математика
  • Автор: bogd254168
  • Вопрос задан 9 лет назад

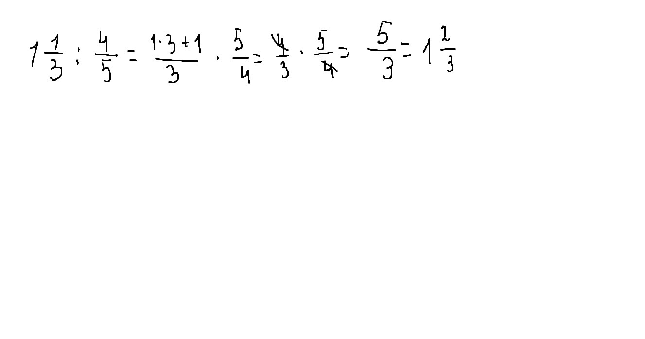
Решите пример 1/1/3:4/5

Ответы

Ответ дал: parus77
0
решение на картинке внизу
Приложения:
Вас заинтересует