Ответы
Ответ дал:
0
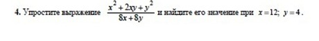
х^2+2ху+y/8x+8y=(x+y)(x+y)/8(x+y)=x+y/8=
=12+4/8=2
Знак ^ - степень, знак / - деление(дробь)
Во 2-м действии просто сокращаем (x+y) с (x+y), т.к. множители есть и в числителе и в знаменателе.
=12+4/8=2
Знак ^ - степень, знак / - деление(дробь)
Во 2-м действии просто сокращаем (x+y) с (x+y), т.к. множители есть и в числителе и в знаменателе.
Ответ дал:
0
откуда мы взяли 12 и 4???
Вас заинтересует
2 года назад
2 года назад
7 лет назад
7 лет назад
10 лет назад
10 лет назад
10 лет назад