• Предмет: Алгебра
  • Автор: marynak
  • Вопрос задан 9 лет назад

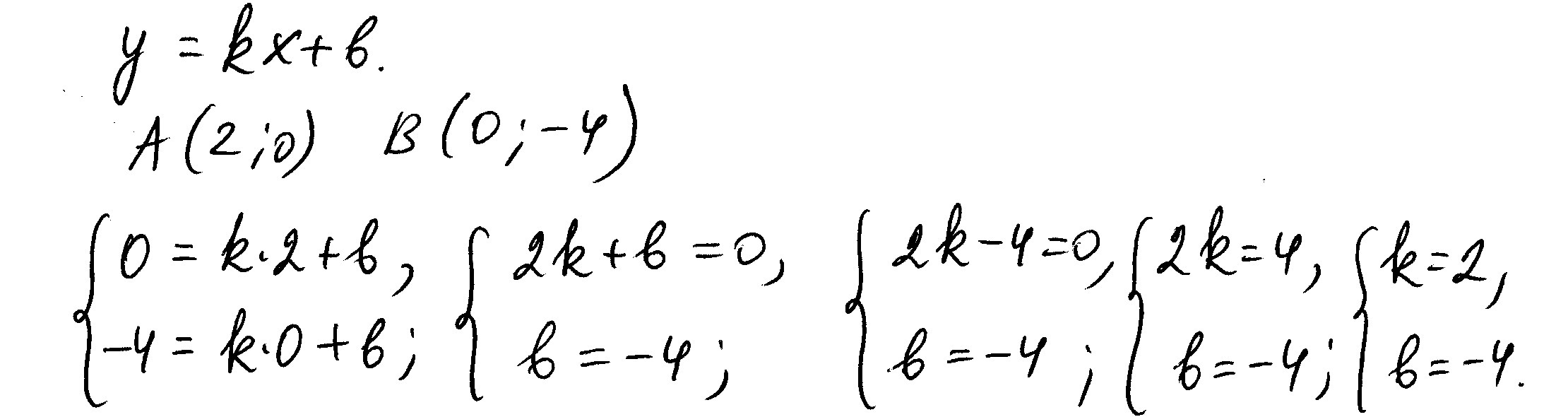
графік функції y=kx+b перетинаєосі кординату точках А(2, 0) В(0, -4). знайдіть значення k i b?

Ответы

Ответ дал: samodina
0
решение во вложенном файле
Приложения:
Вас заинтересует