• Предмет: Алгебра
  • Автор: azaka2017
  • Вопрос задан 9 лет назад

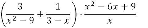
Пожалуйста, решите, мои дорогие!

Приложения:

Ответы

Ответ дал: UrsulaSchneider
0
.......................
Приложения:
Вас заинтересует