Ответы
Ответ дал:
0
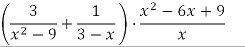
вот и тебе правельный ответ
Приложения:

Ответ дал:
0
а откуда взялось 27???
Ответ дал:
0
там надо 9 умножить н а 3
Ответ дал:
0
ааа... всё спасибо...
Ответ дал:
0
всегда пожалуйсто!
Вас заинтересует
2 года назад
2 года назад
9 лет назад