Помогите решить пожалуйста
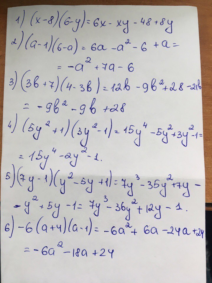
(x-8)(6-y)
(a-1)(6-a)
(3b+7)(4-3b)
(5y2cтепени+1)(3y2степени-1)
(7y-1)(y2степени-5y+1
-6 (a+4)(a-1)
Напишите с решением
Ответы
Ответ дал:
0
Раскрываем скобки в каждом примере.
Приложения:
Вас заинтересует
2 года назад
2 года назад
7 лет назад
7 лет назад
10 лет назад
10 лет назад
10 лет назад
10 лет назад