• Предмет: Математика
  • Автор: ссс58734
  • Вопрос задан 9 лет назад

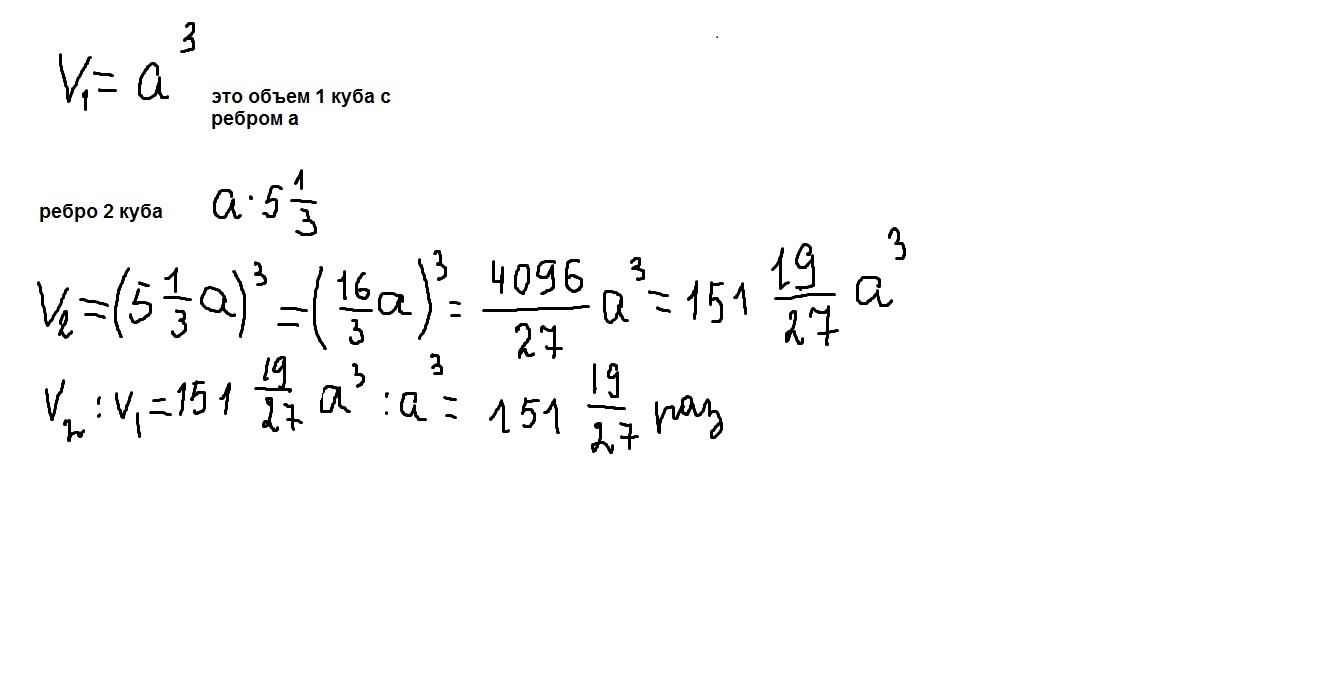
ребро куба в 5 1/3 раза больше ребра другога куба.во сколько раз обём одного куба больше обёма второго куба ?

Ответы

Ответ дал: parus77
0
объем второго куба в 151 1927 раз больше объема 1 куба
Приложения:
Вас заинтересует