• Предмет: Алгебра
  • Автор: nikitamedvedVw
  • Вопрос задан 9 лет назад

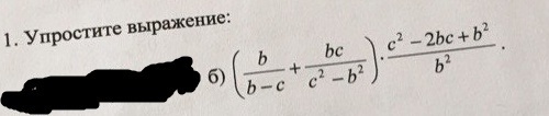
Подскажите общий знаменатель в скобках какой будет.

Приложения:

Ответы

Ответ дал: Fazi8833
0
(b-c)(b+c)
................
Ответ дал: nikitamedvedVw
0
Там b-c и c^2-b^2
Ответ дал: Fazi8833
0
то что я написала,это и есть с^2-b^2
Ответ дал: Fazi8833
0
надо только к первую дробь умножить на b+c
Вас заинтересует