• Предмет: Алгебра
  • Автор: penetrator2
  • Вопрос задан 9 лет назад

Помогите сократить дроби по алгебре

Приложения:

Ответы

Ответ дал: Flash3146
0
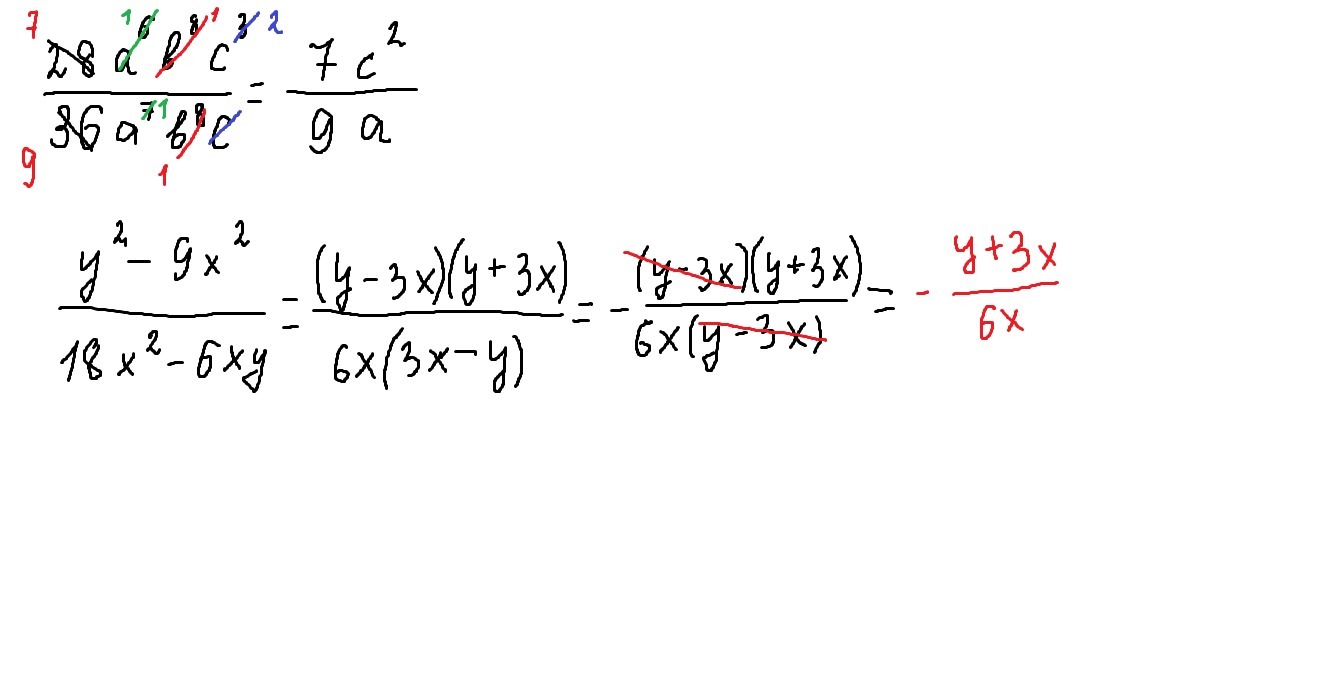
28a^6b^8c³/36a^7b^8c=7c²/9a
(y²-9x²)/(18x²-6xy)=(y-3x)(y+3x)/6x(3x-y)=
(y+3x)/-6x
Ответ дал: parus77
0
решение  смотри внизу
Приложения:
Вас заинтересует