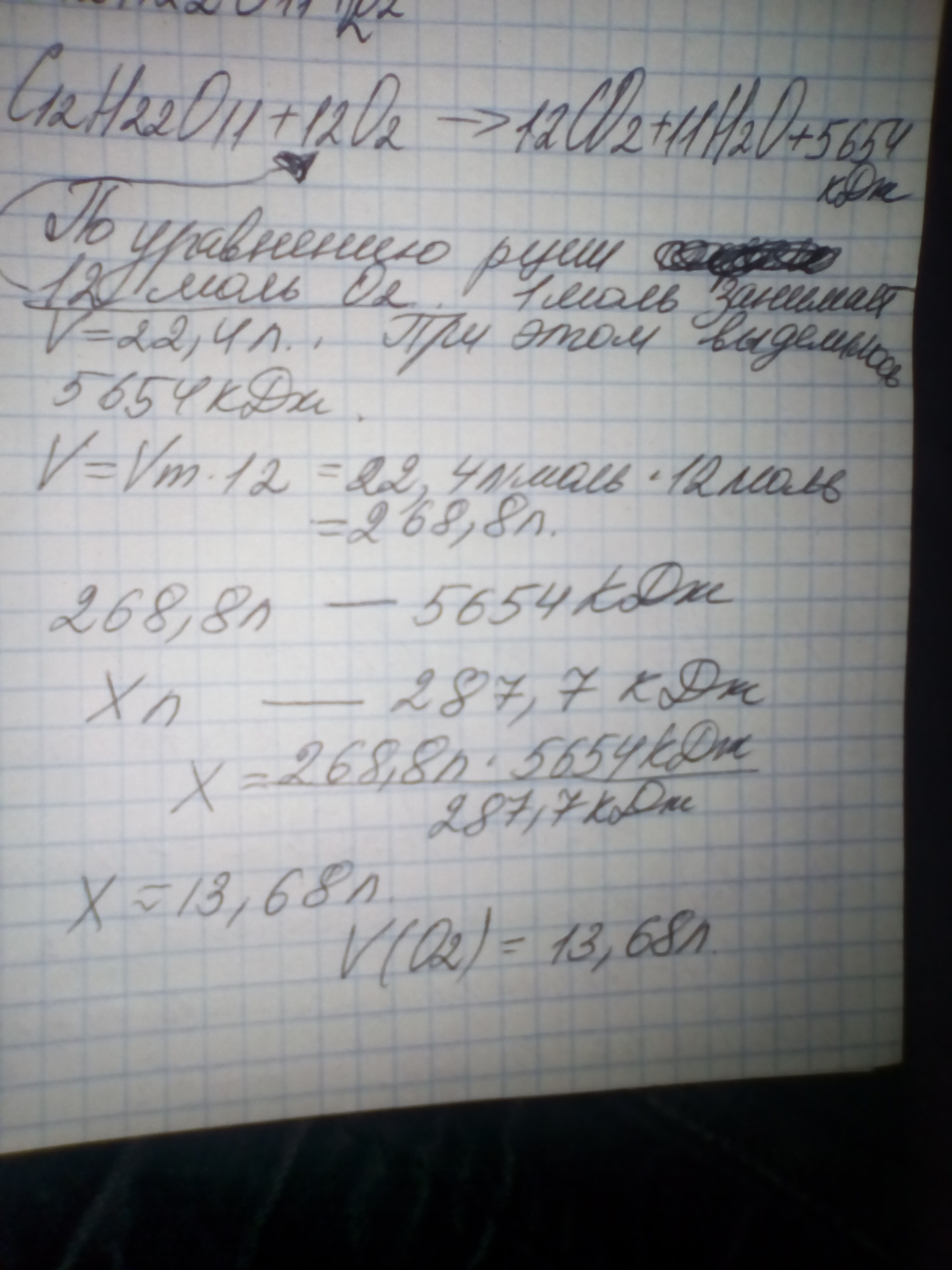
Рассчитайте бьем кислорода(н.у) который потребуется для полного окисления сахорозы, если при этом выделятся 287,7 кдж теплоты (тепловой эффект реакции составляет 5654 кдж)
Ответы
Ответ дал:
0
Смотрите решение. Фото прилагаю.
Приложения:

Вас заинтересует
2 года назад
2 года назад
7 лет назад
7 лет назад
9 лет назад
10 лет назад
10 лет назад