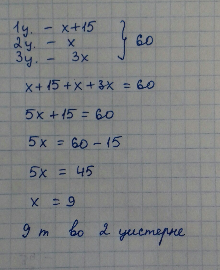
Помогите решить задачу. в трёх цистернах 60 т бензина В первой цистерне на 15 т больше чем во второй а в третьей в три раза больше .чем во второй Сколько тонн бензина во второй цистерне
Ответы
Ответ дал:
0
_________________________
Приложения:

Ответ дал:
0
II-X
I-X+15
III-3X
60=(x+15)+x+3x
60=5x+15
5x=60-15
5x=45 x=45/5 x=9
I-X+15
III-3X
60=(x+15)+x+3x
60=5x+15
5x=60-15
5x=45 x=45/5 x=9
Приложения:

Вас заинтересует
2 года назад
7 лет назад
9 лет назад
9 лет назад
10 лет назад
10 лет назад