Ответы
Ответ дал:
0
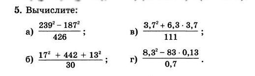
a) (239-187)(239+187)/426=239-187=52
б) (17+13)^2/30=30^2/30=30
в) 3,7(3,7+6,3)/111=37/111=1/3
г)8,3(8.3-1,3)/0,7=8,3*7/0.7=83
б) (17+13)^2/30=30^2/30=30
в) 3,7(3,7+6,3)/111=37/111=1/3
г)8,3(8.3-1,3)/0,7=8,3*7/0.7=83
Ответ дал:
0
СПАСИБО ОГРООООООМНОЕ!
Вас заинтересует
3 года назад
3 года назад
8 лет назад
8 лет назад
11 лет назад
11 лет назад
11 лет назад