• Предмет: Алгебра
  • Автор: Смаороьь
  • Вопрос задан 9 лет назад

упростите вырожние 7х²-2х+(5+11х+6х²)

Ответы

Ответ дал: dtnth
0
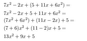
7x^2-2x+(5+11x+6x^2)=
7x^2-2x+5+11x+6x^2=
(7x^2+6x^2)+(11x-2x)+5=
(7+6)x^2+(11-2)x+5=
13x^2+9x+5
Приложения:
Вас заинтересует