Ответы
Ответ дал:
0
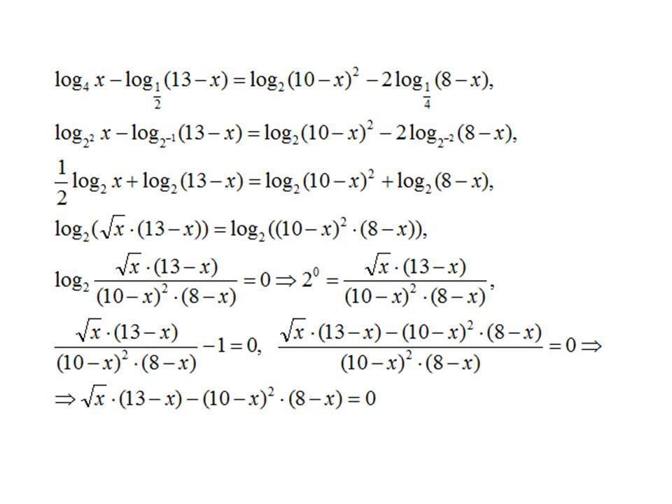
Идея есть, а вот точного решения найти невозможно.
Приложения:

Вас заинтересует
2 года назад
7 лет назад
9 лет назад
9 лет назад
10 лет назад