• Предмет: Алгебра
  • Автор: Kisa1is1CPB
  • Вопрос задан 9 лет назад

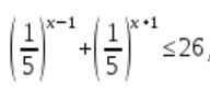
Решите неравенство ПОЖАЛУЙСТА)

Приложения:

Ответа на этот вопрос пока нет. Попробуйте найти его через форму поиска.

Вас заинтересует