На одной координатной плоскости постройте графики функций у = х² и у = 2х.
1) Сколько точек пересечения имеют графики этих функций?
2) Определите их координаты.
Ответы
Ответ дал:
0
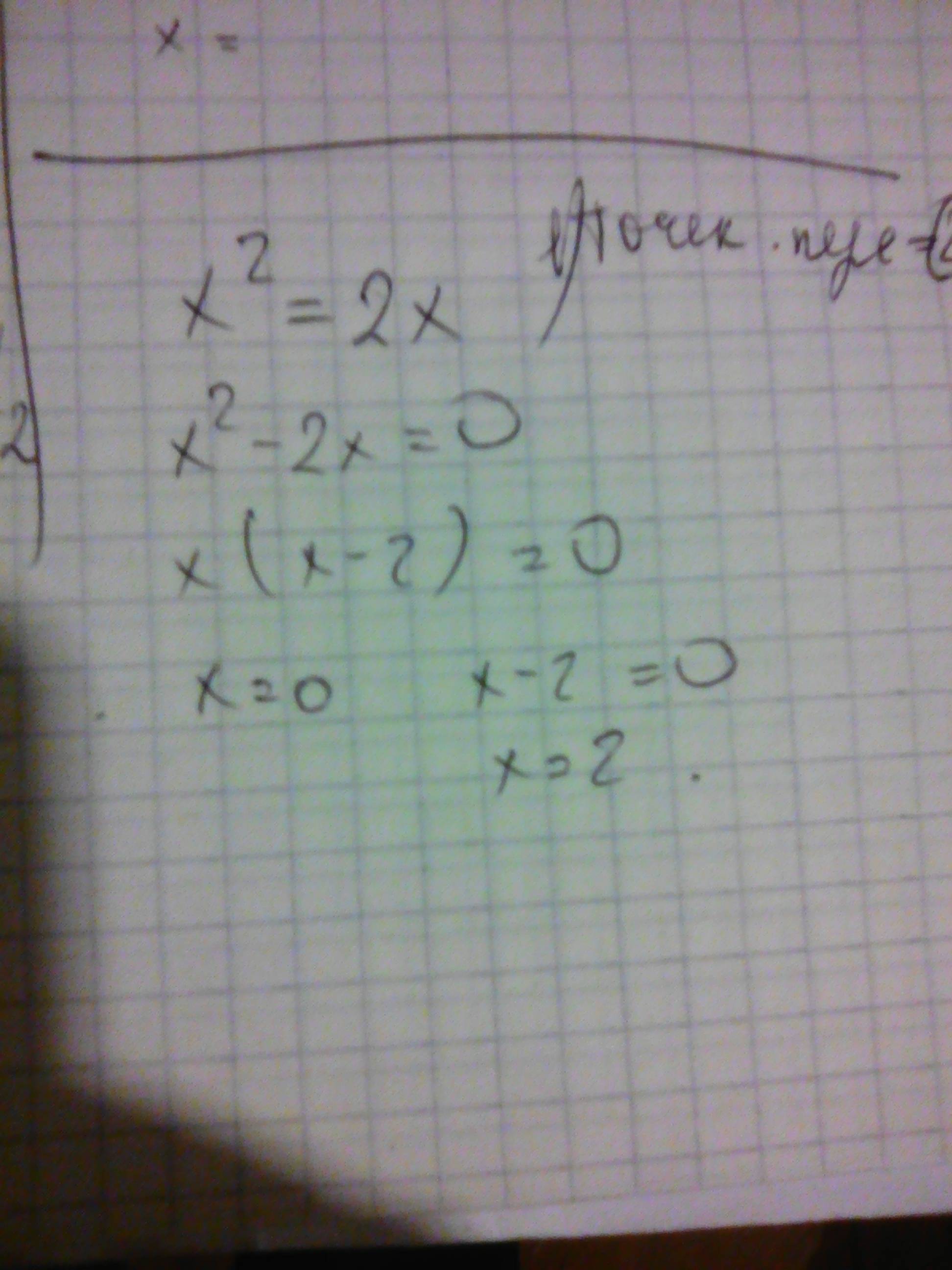
1) 2 точки
2) х=0
Х=2
2) х=0
Х=2
Приложения:

Вас заинтересует
2 года назад
7 лет назад
9 лет назад
9 лет назад
10 лет назад
10 лет назад