• Предмет: Алгебра
  • Автор: MarinaMoscow1
  • Вопрос задан 9 лет назад

Решите неравенство плиз)))

Приложения:

Ответы

Ответ дал: Алкадиеныч
0
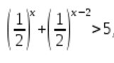
решение на фотографии
Приложения:
Вас заинтересует