Упростить выражение:
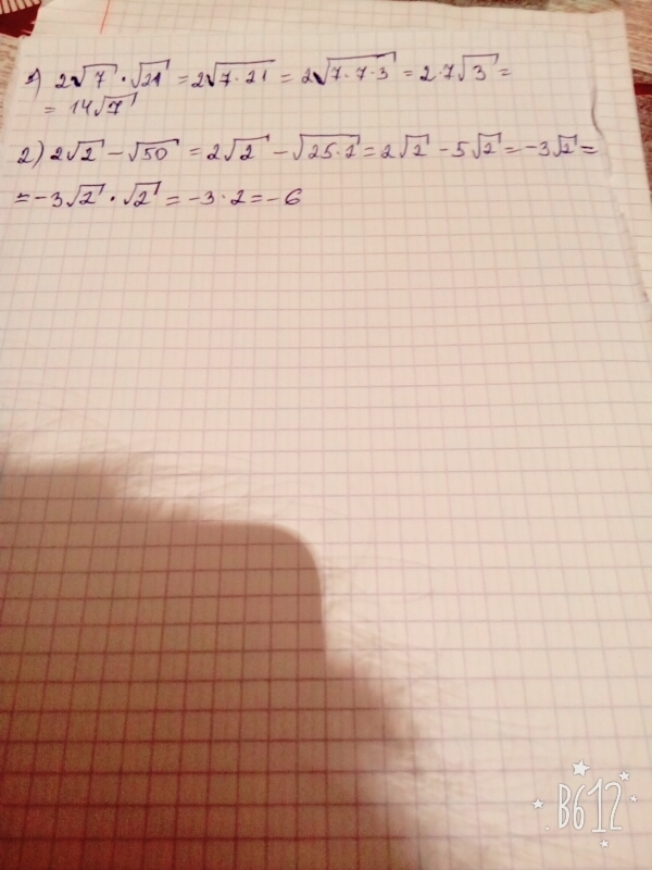
б)2√7x√21 (2корень7 умножить корень21)
в)(2√2-√50)x√2 ( (2корень2 минус корень50) умножить корень 2)
Ответы
Ответ дал:
0
Отвееееееееект. Отвееееет
Приложения:

Вас заинтересует
2 года назад
7 лет назад
7 лет назад
9 лет назад
9 лет назад