• Предмет: Алгебра
  • Автор: АЛИНА1997алина
  • Вопрос задан 11 лет назад

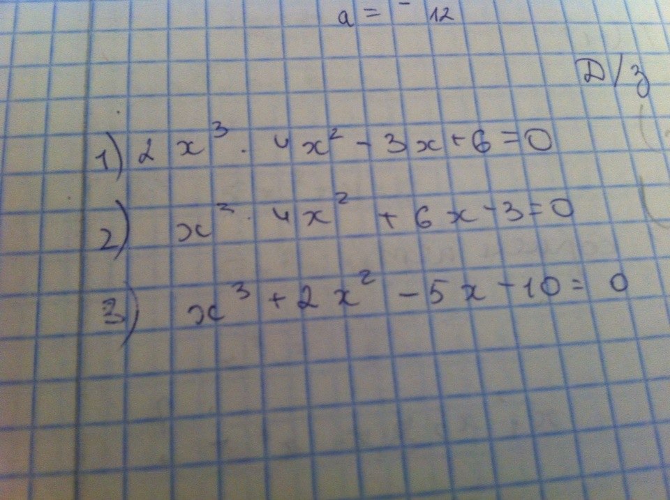
Помогите решить уравнение- 3 штуки
очень надо, спасибо :)
1-методом группировки (первый знак минус,а не умножить)
2-методом Пьезо (первый знак минус,а не умножить)
3-методом группировки

Приложения:

Ответы

Ответ дал: ариночкааа
0
:)))))))))))))) обращайся!
Приложения:
Вас заинтересует