Ответы
Ответ дал:
0
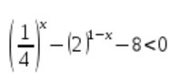
(1/4)ˣ - (2)¹⁻ˣ-8<0
(1/2)²ˣ - (2/ 2ˣ)- 8<0 замена (1/2)ˣ =а ОДЗ а>0
a²-2a-8<0
D=4+32=36 √D=6
a₁=(2+6)/2=4 (1/2)ˣ =4 x₁=-2
a₂=(2-6)/2=-2 не подходит под ОДЗ
+ -
----------------- - 2 --------------------------------
х∈ (-2 ;+∞)
(1/2)²ˣ - (2/ 2ˣ)- 8<0 замена (1/2)ˣ =а ОДЗ а>0
a²-2a-8<0
D=4+32=36 √D=6
a₁=(2+6)/2=4 (1/2)ˣ =4 x₁=-2
a₂=(2-6)/2=-2 не подходит под ОДЗ
+ -
----------------- - 2 --------------------------------
х∈ (-2 ;+∞)
Вас заинтересует
2 года назад
7 лет назад
10 лет назад
10 лет назад
10 лет назад