Ответы
Ответ дал:
0
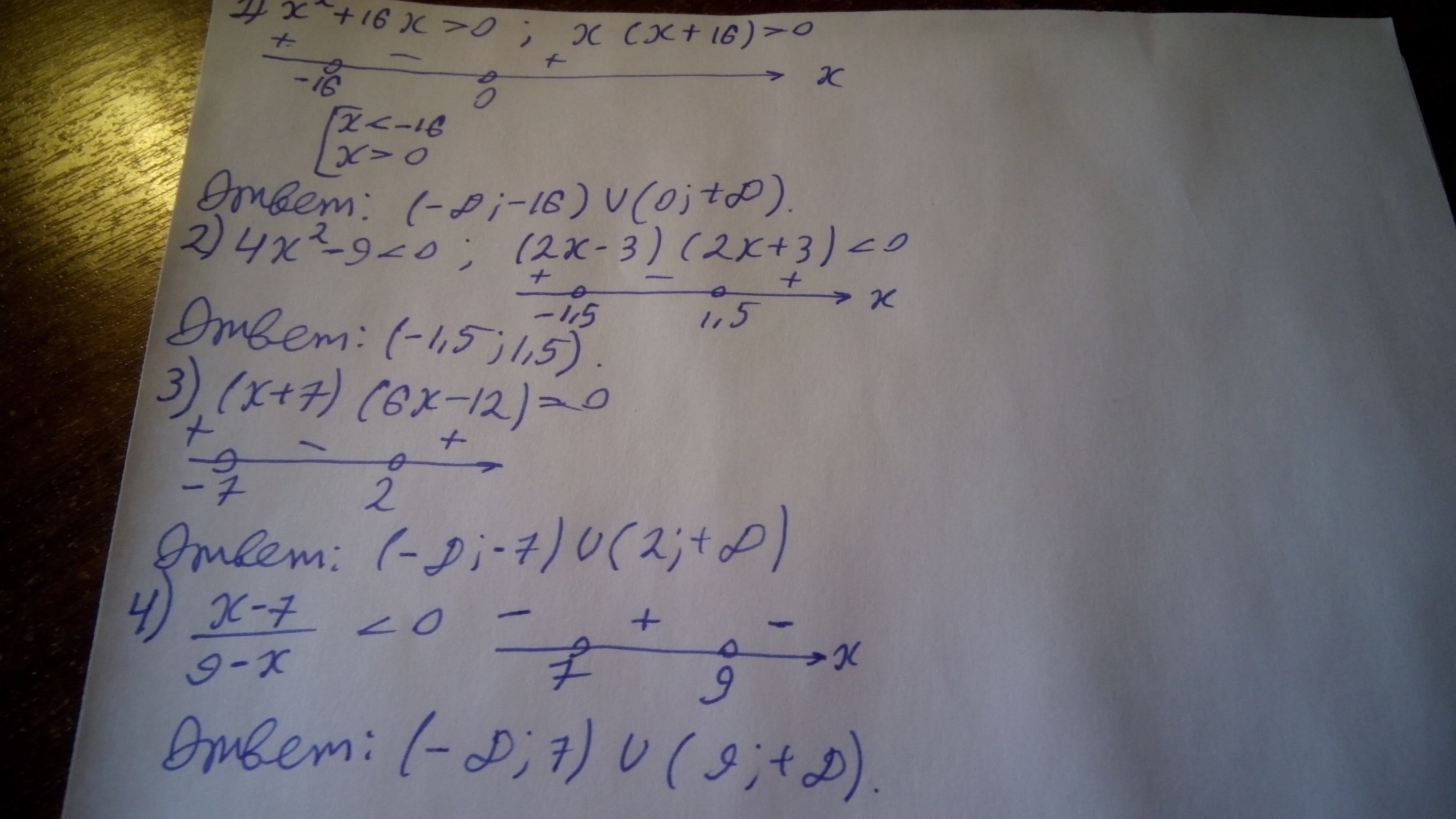
решение на фотографии
Приложения:

Ответ дал:
0
вот теперь правильно. и не надо говорить, что все решено правильно, можно попасть в неудобную ситуацию. все мы имеем право на ошибки, мы не боги
Ответ дал:
0
Это точно, спасибо, что указали на ошибки. В следующий раз буду внимательнее:)
Ответ дал:
0
удачи в решениях
Вас заинтересует
2 года назад
7 лет назад
7 лет назад
9 лет назад
9 лет назад
10 лет назад
10 лет назад