• Предмет: Алгебра
  • Автор: artem5101
  • Вопрос задан 9 лет назад

помогите мне пожалуйста!

Приложения:

Ответы

Ответ дал: sasha7710
0
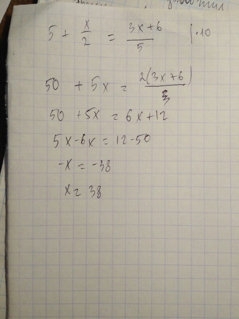
5/1+x/2=(3x+6)/5
(5×2+x)/2=(3x+6)/5
(10+x)×5=(3x+6)×2
50+5x=6x+12
50-12=6x-5x
38=x
x=38.
Ответ дал: AntonovaSvetych
0
вот! Ты просто домножаешь на общий знаменатель и дальше просто решаешь 
Приложения:
Вас заинтересует