• Предмет: Алгебра
  • Автор: dianavovk1405
  • Вопрос задан 2 года назад

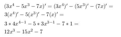
3x^4-5x^3-7x Знайти похідну

Ответы

Ответ дал: dtnth
0
(3x^4-5x^3-7x)'=(3x^4)'-(5x^3)'-(7x)'=
3(x^4)'-5(x^3)'-7(x)'=
3*4x^{4-1}-5*3x^{3-1}-7*1=
12x^3-15x^2-7
Приложения:
Вас заинтересует